
发表时间:2017-11-08 16:46:21 浏览次数:98
程序员这个职业究竟可以干多少年,在中国这片神奇的土地上,很多人都说只能干到30岁,然后就需要转型,很多人回复到这种玩法会玩死人的一样。
我在很多面试中,问到应聘者未来的规划都能听到好些应聘都说程序员是个青春饭。
因为,大多数程序员都认为,编程这个事只能干到30岁,最多35岁吧。
每每我听到这样的言论,都让我感到相当的无语,大家都希望能像《21天速成XXX》那样速成,好多时候超级有想和他们争论的冲动,但后来想想算了,因为你无法帮助那些只想呆在井底思维封闭而且想走捷径速成的人。
今天,我们又来谈这个老话题,因为我看到一篇论文,但是也一定会有很多人都会找出各种理由来论证这篇论文的是错的,无所谓了,我把这篇文章送给那些和我一样准备为技术和编程执着和坚持的人。
01
首先,这篇论文是两个北卡罗莱纳州立大学计算机科学系的两个人 Patrick Morrison 和 Emerson Murphy-Hill 对 StackOverflow 上的用户做了相关的数据挖掘得出来的一些数据。(我们知道 StackOverflow 上的数据是公开的,任何人都可以用来分析和统计,所以这篇论文的真实性是有的)
1. 数据采样和清洗条件如下:(数据全量是1694981用户,平均年龄30.3岁)
15-70岁之间的用户(这年龄段的用户被称做“Working age”),当然,有很多用户没有输入年龄,这些用户都被过滤了。
Reputation 声望在2-100K之间。(注:StackOverflow的用户 Reputation 是得到社会认可的,在面试和招聘中是硬通货币。比大学的学分更有价值)
上述的条件一共过滤出84,248名程序员,平均年龄:29.02岁,平均Reputaion在1073.9分。
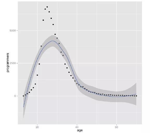
2. 年龄分布图
下面我们来看一下他们的年龄分布图:我们可以看到程序员年纪的正态分布(高点在25岁左右,但是中点在29岁左右)
3. 能力和年龄分布图
然后,计算每个人每个月的 Reputation,这样可以找到这个用户的真正的活跃时间,这样便于计算这个程序员的真实能力。(总声望 / 活跃时间),可以得到他平均每个月得来的 Reputation。
我们来看看程序员的能力和年龄段的分布图:(你可能会大吃一惊)
上图中我们可以看到,程序员的能力在从25岁左右开始上升,一直到50岁后才会开始下降。
所以说,程序员吃的不是青春饭。只有码农,靠蛮力,用体力而不是用脑力的程序员才是吃青春饭的人。
4. 年纪大的人是否跟不上新技术
论文的作者分析了Tag,用了最近5年内比较流行的技术Tag,然后用了一套比较严谨的算法来查看那些所谓的“老程序员”是否在新技术上跟上不了,所谓跟不上,也就是这些老的程序员在回答这些新技术上并不活跃。
所谓老,就是37岁以上的程序员(就是我现在的年纪)。
得到了下表:可以看到,老程序员和年轻的程序员对于一些新技术的学习来说也是差不多的,甚至有些项还超过了年轻的程序员。
论文的结论是:
1)程序员技术能力上升是可以到50岁或60岁的。
2)老程序员在获取新技术上的能力并不比年轻的程序员差。
2
最后,我说一说我的一些感受:
这些年来的对于外企和国内感受 —— 国外牛B的IT公司的工程能力并不见得比国内的要强多少,但是国外那些NB的IT公司的架构和设计能力远远超过国内的公司,最可怕的是,那些有超强架构和设计能力的“老程序员们”还战斗在一线,这些战斗在一线的老鸟的能力绝对超过100个普能的新手。
对年轻程序员的感受——国内新一代的程序员们太浮燥了。
老实说,对于大多数人来说,如果你没有编程到30岁,你还不能成为一个“合格”的程序员。所以,并不是编程编到30岁就玩完了,而是编程编到30岁才刚刚入门。这些不合格的程序,整天BS这个不好,那个不好的,而且喜欢速成,好大喜功。
我是一个奔四的人了,编程就像登山一样,越往上爬人越少,所以,在我这个年纪还有想法,对编程还有热情的人不多了,基本上都是转 Manager 了。其实,什么职位,Title 都是虚的,公司没了什么都没了,只有技术才是硬通货。
而且,越是这个年纪还在玩编程玩技术的人,其实其经验和能力都是比较强的,都是中坚力量。
学IT 首选苏州风云教育
风云教育-苏州园区国企,专注java软件开发培训、软件测试培训、VR/AR人才培训、企业人才定制培养的高端IT教育软件培训机构。选择风云教育,不止高薪更是高起点!
了解更多请咨询:0512-69172205
微信咨询:wxm1519541769
QQ咨询:1519541769
网址:www.fy1010.com